
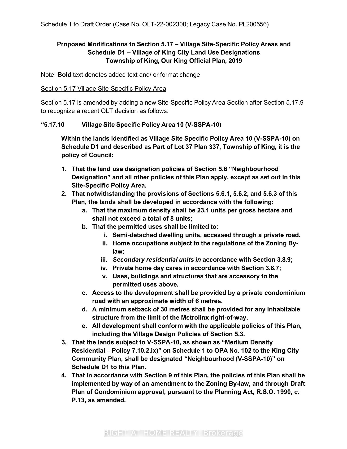
Attention investors, developers & builders an excellent opportunity in the heart of King City! Recently rezoned to permit 8 two story semi detached houses on a condo road. Located between Keele St. and Dufferin St. North of King Rd. Existing bungalow is in as is condition rented month to month for $2000. Area is 0.86 acre. All related Documents (ESA, Civil, Architect Reports, etc.) will be provided after offer Acceptance. Buyers and Buyers’ Agents to perform Due Diligence to verify information.
| Price: | $4,800,000 |
| Address: | 204 Dew St |
| City: | King |
| County: | York |
| State: | Ontario |
| Zip Code: | L7B 1K9 |
| MLS: | N6762214 |
Please sign up for a Listing Manager account below to inquire about this listing